1) Ninhydrin
[nin'haidrin]

茚三酮
1.
Protein content of mineral-adhered bacterium by ninhydrin colorimetric method;

茚三酮比色法测定矿物表面吸附浸矿细菌蛋白质含量
2.
Colours and Conditions on Reaction of α—Amino—acid and Ninhydrin;

α—氨基酸和茚三酮反应的颜色与条件
2) acidic-ninhydrin

酸性茚三酮
3) 1,2,3-Indantrione hydrate

水合茚三酮
4) ninhydrin reaction

茚三酮反应
5) ninhydrin reagent

茚三酮试剂
6) 2,2-dihydroxy-3-indandione

(水合)茚三酮
补充资料:茚三酮
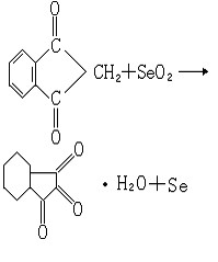
茚三酮 ninhydrin;friketohydrindene 分子式C9H6O4。又称水合三酮化茚,水合茚满三酮或茚满三酮。其结构式表示如下: ![]() 分子量178.14,熔点250℃(分解)。多种方法可以制备茚三酮。经典的方法是以二酮二氢化茚制取。二酮二氢化茚又可从邻苯二甲酸二乙酯和乙酸乙酯制得。前者用二氧化硒氧化即得到茚三酮。反应式如下: ![]() 产率31%~35%。其主要用途是作为试剂 ,用来检出蛋白质、多肽及氨基酸上未结合的氨基。当其与氨基酸共热时,混合物即变成蓝色。 |
说明:补充资料仅用于学习参考,请勿用于其它任何用途。
参考词条