说明:双击或选中下面任意单词,将显示该词的音标、读音、翻译等;选中中文或多个词,将显示翻译。
您的位置:首页 -> 词典 -> 模拟计算机
1)  analogue computer
模拟计算机
1.
For the consideration of the possibility to be realized on the analogue computer,the aerodynamic coefficients of eac.
在不具备数模混合仿真实验的条件下,本文提出了在模拟计算机上,无人驾驶飞机六自由度非线性全量方程的飞行控制系统动态物理模拟仿真和对阵风扰动处理的方法。
2)  computer simulation calculation
计算机模拟计算
1.
Good compression standing order of three frames cold continuous mill was determined with computer simulation calculation.
为了合理、均衡使用 35 0 m m三机架冷连轧机组的装备能力 ,实现大压下的轧制功能 ,采用“压下量逼近法”,通过计算机模拟计算制定了该机组最优化压下规程。
3)  Computerized simulation
计算机模拟
1.
In this paper,computerized simulation have been made on the influences of each parameter on the resistance of the purifier.
对净化器结构参数与净化器阻力之间的关系进行了计算机模拟,对净化器的阻力特性进行了实验研究,并与计算机模拟结果进行比较,得出了一些结论,为这方面的继续研究奠定了良好的基础。
2.
In this paper, the method of computerized simulation is applied to calculate the thermal desorption spectrum of the Si(111)/H system.
本文采用计算机模拟的方法计算了Si(111)/H系统的热脱附谱,研究了脱附能、指数前因子以及初始表面覆盖度对热脱附谱的影响。
3.
Meanwhile, a computerized simulation for the corrosive cracking process of RC members is carried out with p.
利用编制的程序 ,对钢筋混凝土构件的锈裂过程进行了计算机模拟 ,结果表明 ,该模型为获得了锈胀开裂条件以及锈蚀量与锈胀裂缝宽度之间的定量关系提供了可能。
4)  computer modeling
计算机模拟
1.
Determination of penalty number in computer modeling of extrusion from dies by three-dimensional "Penalty" finite element method;
口模挤出三维罚有限元方法计算机模拟中罚数的确定
2.
Using the computer modeling method,research has been done on the relations between the width and length of the fractures in tight sand,and the positive differential pressures in boreholes.
用断裂力学有限元法建立了与井筒连通2条垂直裂缝情况下的裂缝宽度预测模型,通过计算机模拟研究了致密砂岩中裂缝宽度、长度及井筒正压差的关系。
3.
A computer modeling of PET HOY structure formation was developed based upon a combination of fundamental spinning kinetic equations, stress-induced crystallization, Euler's equation and Newton's dichotomy.
计算机模拟的结果与相关文献给出的实验结果吻合良好。
5)  computer simulation
计算机模拟
1.
Determination of relative molecular mass distribution of poly(phenylene sulfide) using computer simulations;
聚苯硫醚相对分子质量分布的计算机模拟测定
2.
Application of Computer Simulation in Developing Al Alloy Automotive Parts Using Semi-solid Die Casting;
计算机模拟在铝合金半固态压铸中的应用
3.
Research of computer simulation for tunnel kilns;
隧道窑计算机模拟的研究
6)  simulation [英][,sɪmju'leɪʃn]  [美]['sɪmjə'leʃən]
计算机模拟
1.
Infrared spectra simulation for the CN group;
氰基红外光谱的计算机模拟
2.
Filler height simulation of absorbing tower in methylamine production;
甲胺生产中吸收塔填料高度的计算机模拟
3.
Computer simulation of quenching process of P/M superalloy FGH95 turbine disk;
FGH95粉末涡轮盘淬火过程计算机模拟
补充资料:模拟计算机
模拟计算机
analog computers

   用电流、电压等连续变化的物理量直接进行运算的计算机。使用模拟计算机的主要目的,不在于获得数学问题的精确解,而在于给出一个可供进行实验研究的电子模型。
    发展简况  20世纪30年代,开始致力于全电子化模拟计算机的研制工作。第二次世界大战期间,贝尔电话实验室研制出M-9火炮指挥仪。二次大战后,一些人以M-9火炮指挥仪中的运算放大器为基础,于1947年研制出全电子直流模拟计算机。高增益直流运算放大器的出现,对模拟计算机的发展,起了革命性的推动作用。与此同时,各发达国家都在研制模拟计算机。1948年,研制出第一台商品模拟计算机,50年代实现商品化。50年代中、后期,中国进入现代模拟计算机研制领域。60年代中期,先后研制出多种型号模拟计算机。如M-2、M-6等大型混合模拟计算机,就是这一时期的成果。
    分类  模拟计算机的类比或相似关系,存在于被研究的物理现象或过程同模拟计算机本身的物理现象或过程之间 。根据计算机和实物类比关系的紧密程度不同,模拟计算机分为直接(专用)计算机和间接(通用)计算机。
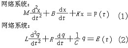
    直接计算机作为实物的模型,二者除具有类比的数学关系外,其物理参数间也有一一对应的类比关系。例如,用电感、电容和电阻组成的网络,模拟由质量、弹性阻尼和粘性阻尼组成的机械系统 , 二者的数学方程可以写成同一形式:!!!M1205_1可以看出,二者参数 L.C.R 和M.K.B之间也存在一一对应的关系。
    间接计算机构成的实物模型与实物间的类比关系,只是数学模型的类比。因此,必须按实物的方程式组成模型。因为要用一个个函数部件组成模型,所以要想满足广泛的要求,必须用足够多的各种函数部件组成一个通用性很强的模拟计算机 ,即所谓通用模拟计算机 。一个大型通用模拟计算机,约有二三百个运算放大器,相应数量的线性电位器,几十个乘法器和函数产生器等部件。
    上述机械系统,包含加法、乘法和微分运算。在通用模拟机上,只要把相应部件联接起来,便可建立它的数学模型。
   按所用元、部件不同,模拟计算机还可分为电子的和机械的等类别。
    构成  模拟计算机的核心部件是运算放大器,它是一个高增益负反馈放大器。
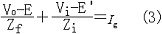
   根据基尔霍夫定律,可以写出下列方程:
   !!!M1205_2根据放大倍数的定义,V0E=-A,通常称为放大器的增益,其数量级在105上下。高增益放大器的 Ig,一般比Ii小104倍,可以忽略不计。比其V0Vi, 电压E也可忽略。于是公式(3)简化为:
   !!!M1205_3 (4)这是运算放大器的基本关系式。从中看出,只要放大器的增益足够大,输出电压与输入电压的关系,只取决于输入和反馈元件,与放大器内部特性无关。因此,改变输入和反馈元件,便可改变运算放大器的运算状态。
   ①积分器。将阻抗Zf换成电容C,阻抗Zi换成电阻R,经公式(4)得出:
   !!!M1205_4(5)其中P为拉氏算子。把(5)式变成原函数,则
   !!!M1205_5  (6)从而实现了积分运算。其中V0(0)=V0t=0,即初始值。
   在模拟计算机中,微分运算通常是作为积分的反运算完成的。
   ②反相器。如ZiZfR,则V0=-Vi,构成反相器。
   ③加法器。如果有几个输入端,而每个输入端的电阻都相等,同时等于反馈电阻,可以导出输出电压等于各输入电压之和的关系式。
   此外,还可以用运算放大器组成微分器、乘法器、除法器和各种函数发生器。
   为了排题和操作,在模拟计算机中,除上述各种部件外,还有控制器、排题板和输出记录设备。
    精度  模拟计算机的精度主要决定于所用元件的精度。高质量的线性元件(如电阻),其误差小于满刻度的0.01%。非线性元件的误差,可达到满刻度的0.02%。低质量计算机的元件误差,一般超过上述值的10倍。
   典型模拟问题,要用很多元、部件求解,要说出具体精度值是困难的。因为总精度不单决定于元器件质量,还取决于题大小和编排方法。对优质计算机而言,解大型题目的误差有可能控制在0.5%的量级。
   由于绝大多数模拟解的输出,都要用 x-y记录仪或纸带记录仪记录,所以最终精度通常与所用记录设备的精度处于同一数量级。
   模拟计算机的精度与其所要完成的任务一般是适应的 。在求解的工程问题中,其大多数输入数据是由经验判定的 ,一般说,它要低于模拟机本身的精度。
    应用  模拟计算机能解各种微分方程和偏微分方程,凡是能用这些方程描述的动力学物理系统,原则上都可以在模拟计算机上求解和仿真。具体地说,模拟计算机的应用范围,可概括为3个方面:①作为计算工具。 ② 作为实物的数学模型和仿真设备。③作为教学和训练工具。
    随着数字计算机的发展,模拟计算机作为计算工具和通用仿真设备的作用,被数字计算机所取代。但是,作为专用仿真设备、教学与训练工具,模拟计算机还将继续发挥作用。
说明:补充资料仅用于学习参考,请勿用于其它任何用途。
参考词条