1)  Coupon-bonds option
					 
	
					
				
				 
	
					
				附息债券期权
				1.
					In the paper,the problem about Coupon-bonds option value has been studied.
					 
					
						
						 
					
						研究附息债券的定价问题,对Jam sh id ian理论进行推广,得到Hu ll-wh ite的单因子及双因子利率模型下的附息债券期权定价理论。
					
					2)  coupon bond
					 
	
					
				
				 
	
					
				附息债券
				1.
					This paper studies two samples of coupon bonds (000696, 000896), which were among the earliest to be listed on the Shanghai Stock Exchange, to review their net price movement in their lifespan and disclose the rules and causes of the trend.
						
						本文以在上海证券交易所最早上市交易的两种附息债券(000696、000896)为样本,考察其在存续期内的净价走势,揭示附息债券净价走势规律及其原因。
					
					4)  Bond option
					 
	
					
				
				 
	
					
				债券期权
				1.
					The paper prices bond and bond option,analyzing dynamic interest rate,regime-switching and option pricing.
						
						从利率动态变化、结构转换和期权定价三个方面进行分析,对结构转换下的债券和债券期权进行定价,考虑了结构转换对利率衍生物定价的影响,利用Ito引理获得债券定价的偏微分方程,并得到债券期权定价的特征函数与递归等式。
					
					5)  coupon-bearing bond
					 
	
					
				
				 
	
					
				附息票债券
				1.
					The pricing of coupon-bearing bond option with delay in delivery is discussed,where the fundamental solution of partial differential equation is adopted and an explicit pricing formula of European option based on Hull-White model of short interest rate is exhibited.
						
						采用赫尔-怀特(Hull-White)短期利率模型,利用偏微分方程基本解方法,分别就标准型和资产交付日滞后于期权到期日类型的欧式附息票债券期权给出定价公式。
					
					6)  coupon bank debenture
					 
	
					
				
				 
	
					
				附息票金融债券
	补充资料:附息债券
		附息债券概述
债券按付息方式分类,可分为附息债券、贴现债券、零息债券、固定利率债券 、浮动利率债券 。
附息债券是指在债券券面上附有息票的债券,或是按照债券票面载明的利率及支付方式支付利息的债券。息票上标有利息额、支付利息的期限和债券号码等内容。持有人可从债券上剪下息票,并据此领取利息。附息债券的利息支付方式一般会在偿还期内按期付息,如每半年或一年付息一次。
附息债券又称分期付息债券和息票债券。
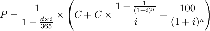
[编辑]附息债券计算价格公式
  
其中:
P为债券价格,单位:元/百元面值;
C=票面利率(年%)×面值(元/百元面值);
i为买方收益率,单位:年%;
n为买方自买入至持有债券到期整年利息支付次数,不足一年部分不再计算;
d为从买方自买入结算日到下一个最近的利息支付日的天数;
[编辑]附息债券的兑付
附息债券在发行时明确了债券票面利率和付息频率及付息日,到债券到期日时,偿还最后一次利息和本金的债券。在中央结算公司办理托管的附息债券,在债券附息日时,发行人委托中央结算公司通过转帐方式向投资人办理债券附息兑付。
附息债券每次付息时需要进行债权登记,一般每次付息日的前一个营业日为债权登记日,债券登记日日终前卖出的不享有本期利息。处于出押冻结状态或回购未到期即待返售的债券,本期利息归原持有人或回购方。在债权登记的付息过程中,发行人不迟于付息日上午将应付利息划至中央国债登记结算公司指定的银行帐户。付息日,中央国债登记结算公司按债权登记日登记的债券托管名册所记载的各持有人的托管余额计算利息,并向持有人指定的银行帐户划付。
说明:补充资料仅用于学习参考,请勿用于其它任何用途。
	参考词条