说明:双击或选中下面任意单词,将显示该词的音标、读音、翻译等;选中中文或多个词,将显示翻译。
您的位置:首页 -> 词典 -> 非线性椭圆型偏微分方程
1)  Second order nonlinear elliptic equation
非线性椭圆型偏微分方程
2)  Linear elliptic PDEs
线性椭圆型偏微分方程
3)  Nonlinear elliptic differential equation
非线性椭圆型微分方程
1.
Oscillation comparison theorems of solutions for second order nonlinear elliptic differential equations;
二阶非线性椭圆型微分方程解的振动比较定理
4)  Nonlinear elliptic stochastic partial differential equations
非线性椭圆随机偏微分方程
5)  Nonlinear Elliptic Differential Equations of Second Order
二阶非线性椭圆型微分方程
6)  elliptic partial differential equation
椭圆型偏微分方程
1.
Inverse potential problem of two-dimensional elliptic partial differential equations;
二维椭圆型偏微分方程的反势问题
2.
The algorithm for a class of optimal control problem where the state variables are the weak solution of an elliptic partial differential equation is studied.
研究一类最优控制问题的求解方法,其状态变量是某一种椭圆型偏微分方程的弱解。
3.
The inverse problem of elliptic partial differential equation in the permeability field is discussed,whose permeability coefficient is nearly uniform.
研究了在渗透系数相差不大的渗流场中椭圆型偏微分方程的系数反问题 ,通过把CT技术中的Radon变换推广到渗流力学中 ,给出了渗透系数的计算方法和实
补充资料:椭圆型偏微分方程
椭圆型偏微分方程
elliptic type, partial differential equation of
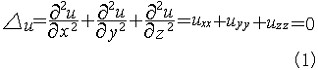
    其典型代表是拉普拉斯方程!!!T1239_1与泊松方程(称Δu为拉普拉斯算子)
   Δu=-4πρxyz)(2)
   拉普拉斯方程的二次连 续可微称为调和函数,方程(1)有形如
   !!!T1239_2的特解,其中S是一个曲面μ为定义在S上的连续函数,(3)所定出的函数在S之外处满足(1),非齐次方程(即泊松方程)(2)有重要特解,它是以ρ为密度的体位势
   !!!T1239_3ρΩ内连续可微时,由(4)所确定的函数uΩ内满足(2),在Ω外满足(1)。应用格林公式得
   !!!T1239_4这说明:调和函数在区域内任何点的值,可由这函数在区域界面上的值以及法线微商来表示。
   在单位球上的狄利克雷问题,对球面坐标为(ρθj)的点有
   !!!T1239_5其中(θ0j0)是积分的变元,是球面坐标。cosυ是方向(θj)和(θ0j0)交角的余弦。椭圆型方程的理论已相当完整。
说明:补充资料仅用于学习参考,请勿用于其它任何用途。
参考词条