说明:双击或选中下面任意单词,将显示该词的音标、读音、翻译等;选中中文或多个词,将显示翻译。
您的位置:首页 -> 词典 -> 极限序数
1)  limit ordinal number
极限序数
2)  nonlimit ordinal
非极限序数
3)  atomic number limit
原子序数极限
4)  Limit of fuzzy numbers
模糊数序列极限
5)  inverse limit shift
逆极限序
1.
This paper studies the minimal sets for the inverse limit shifts of axiom A inducing self covering mappings by means of axiom A*,and proves that their topologic dimensions are zero.
通过公理A*研究了公理A自覆盖映射的逆极限序的极小集,证明了其拓朴维数为零。
6)  order limit
[顺]序极限
补充资料:原子序数
原子序数
atomic number
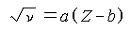
    元素在周期表中的序号。数值上等于原子核的核电荷数(即质子数)或中性原子的核外电子数,例如碳的原子序数是6,它的核电荷数(质子数)或核外电子数也是6。1913年,英国H.G.J.莫塞莱在研究元素铝到金的特征X射线谱时发现,如果以元素的K射线的波数v的平方根与该元素在周期表中的序号Z作图,可得一直线,关系式为:
   !!!Y1900_1,式中ab是常数;Z后来被称为原子序数。
    在周期表中,从一个元素到下一个元素,核电荷数(质子数)呈有规律的增加,原子序数也呈有规律的增加。
说明:补充资料仅用于学习参考,请勿用于其它任何用途。
参考词条