1) organic boron
有机硼
1.
In view of the problem of the reservoir damage of conventional gum gelling fracturing fluid,a organic boron crosslinking polyhydroxy alcohol fracturing fluid system is put forward,and the basic substance S-BQ of the crosslinker for the fracturing fluid system is prepared in laboratory.
针对常规胍胶压裂液对油气藏储层伤害的现状,提出一种有机硼交联多羟基醇压裂液体系。
2.
In the system,a polyhydroxy alcohol with low molecular mass is used as thickener,organic boron as crosslinker,and a synthesized acid releaser as gel breaker.
该压裂液体系以低聚合多羟基醇为稠化剂,有机硼为交联剂,合成了一种释酸剂作破胶剂。
2) boronic acid
有机硼酸
1.
Due to the unique high affinity and reversible interactions with diols, boronic acid-based fluo-rescent sensors can be used in carbohydrate sensing and recognition.
有机硼酸类荧光传感器可与二羟基化合物进行高亲和性且可逆地结合,故可用于糖类传感和识别。
2.
The latest applications of boronic acids as catalyst to organic synthesis are reviewed,focusing on the catalytic activities and reaction mechanism of different catalysts discovered in condensation reaction,carboxylic acid reduction reaction,and Diels-Alder reaction.
综述了有机硼酸类作为催化剂应用于有机合成反应中的最新研究进展,重点介绍了所发现的各种有机硼酸催化剂在缩合反应、羧酸还原反应、Diels-Alder反应中的催化活性以及反应机理。
3) organic silicon-boron
有机硅硼
1.
Study on organic silicon-boron modified epoxy resin adhesive;
有机硅硼改性环氧树脂胶粘剂的研制
4) organic borate-zirconate
有机硼锆
1.
Starting from analyzing factors affecting temperature resistance of fracturing fluid, organic borate-zirconate compound cross-linker WD-51D was synthesized with high temperature resistance and adjustable cross-linking time.
针对川西压裂液体系耐温性能差、日益不适应深层储层改造要求的难题,从压裂液耐温性能影响因素分析出发,合成了耐温高、交联时间可调的有机硼锆复合交联剂WD-51D,并通过引入温度稳定剂YA-10研制成耐温能力达140℃的高温压裂液体系。
5) organoborane reagents
有机硼试剂
6) organic/fluoroboric acids
有机氟硼酸
补充资料:有机硼化合物
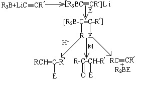
| 有机硼化合物 organoboron compound 硼与一些有机基团生成的金属有机化合物。有以下几类: ①硼氢化合物,又称硼烷。是一类由硼和氢两种元素组成的化合物。硼氢化合物是亲电试剂,乙硼烷与含双键或叁键的有机化合物在醚溶液中发生顺式亲电加成反应,生成烃基硼烷。反应按马尔科夫尼科夫规则进行,即氢原子加在双键中含氢原子较少的碳原子上,而硼原子加在含氢原子较多的碳原子上。 ②有机硼烷BR3。分子中R为烷基。有机硼烷是有机硼化合物中用途很多的一类化合物。其主要反应是用各种方法使碳硼键断裂而生成烃类、醇类、酮类和其他一系列的化合物,如BR3与碱性过氧化氢反应生成醇,用酸分解生成烷烃,用铬酸氧化生成酮。有机硼烷在160℃发生异构化,使硼原子从碳链的中间转移到碳链的末端,从而生成一系列的衍生物。 ③有机硼酸盐 。式中L为配位体,M为金属。利用四配位体硼化合物与一亲电基团反应,烷基从硼原子位移到碳原子上,生成中间体乙烯硼烷。它能质子化生成烯烃,也能氧化成羰基化合物,也能自动消除生成炔烃:E为亲电基团。![]() ④烃基硼酸。是有机硼氧化合物。通常用卤化硼或硼酸酯的格氏反应(见格氏试剂)制备(Ar为芳基;X为卤素): ![]() ⑤有机硼杂环化合物。是一类在环上含有一个或多个硼原子的杂环化合物,环中还可同时包括氧、硫、氮、磷、硅等杂原子,例如:
⑥碳硼烷。具有以硼和碳原子组成的笼形化学结构。例如1,2-二碳代十二硼烷C2B10H12是由10个硼原子和两个邻碳原子组成的正二十面体笼形硼化合物。这种碳硼烷的熔点为294.5~295.5℃,性能稳定,不易氧化和水解。 有机硼化合物除在有机合成方面有广泛的应用外,还可用作聚合反应的引发剂、煤油抗氧剂、杀菌剂、抗癌药和用于中子俘获、治疗脑肿瘤。 |
说明:补充资料仅用于学习参考,请勿用于其它任何用途。
参考词条
。式中L为配位体,M为金属。利用四配位体硼化合物与一亲电基团反应,烷基从硼原子位移到碳原子上,生成中间体乙烯硼烷。它能质子化生成烯烃,也能氧化成羰基化合物,也能自动消除生成炔烃:E为亲电基团。

